

Si il·luminem la placa que conté un orifici amb la llum monocromàtica del làser, s’observa un patró de difracció com el mostrat en la fotografia superior. S'en diu "Difracció de Fraunhofer" i es produeix quan l'orifici és petit (típicament de diàmetre inferior a 1 mm) i la pantalla on s'observa es troba a distancia gran.
El làser utilitzat en aquest experiment té una longitud d’ona de 633 nanómetres, i la pantalla es col·loca a una distancia de 6 metres del diafragma.
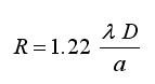
La imatge està formada per un màxim principal en el centre, rodejat per una sèrie alternant d'anells circulars foscos i màxims secundaris. El radi del primer anell fosc ve donat per l'expressió:
on D és la distancia a la pantalla, l és la longitud d’ona de la llum i a és el diàmetre de l'orifici.
VEURE FONAMENTS TEÒRICS