Difracció de Fraunhoufer

 

  tornar enrere

 

Quan entre una font emissora de llum i una pantalla s’interposa un diafragma amb una petita obertura, s’observa un diagrama d’interferències consistent en franges (ó anells) clares i fosques. Fenòmens anàlegs s’observen si s’interposa un petit obstacle. Son els anomenats fenòmens de difracció.

En l’estudi de la difracció existeixen dues aproximacions destacables:

  • Aproximació de Fresnel
  • Aproximació de Fraunhoufer

Nosaltres utilitzarem l’aproximació de Fraunhoufer, que és vàlida quan la distancia des del diafragma a la pantalla és molt gran.

 

Difracció per un petit orifici circular

Quan la llum incideix sobre un petit orifici, cada un dels seu punts es converteix en generador d’ones (Principi de Huygens). Aquestes ones es superposen sobre la pantalla donant lloc a un diagrama d’interferències caracteritzat per un cercle lluminós central i tot una sèrie d’anells concèntrics foscos (mínims) i lluminosos (màxims secundaris).

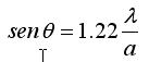
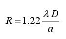
L’angle sota el qual es veu el cercle central ó, el que és equivalent, l’angle corresponent al primer anell fosc ve donat per:

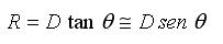
sent a el diàmetre de l’orifici. El corresponent radi R, mesurat sobre la pantalla des del centre d’aquesta fins al primer cercle fosc, està relacionada amb Q per:

Combinant les dues expressions, s’obté:

Difracció per una escletxa estreta

(Veure pràctica següent)

tornar enrere