

Quan s’il·lumina la placa que conté dues escletxes amb la llum monocromàtica del làser, s’observa un patró d’interferència com el mostrat en la fotografia superior, consistent en un conjunt de franges fosques i brillants.
El làser utilitzat en aquest experiment té una longitud d’ona de 633 nanómetres, i la pantalla es col·loca a una distancia de 5.5 metres del diafragma.
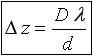
La distancia entre dues franges fosques (o dues franges brillants) ve donada per l' expressió:

VEURE FONAMENTS TEÒRICS