Interferències per dues escletxes paral·leles

 

tornar enrere

 

Fenòmens d’interferència

Quan es combinen ones harmòniques procedents de dos focus, de la mateixa freqüència i longitud d’ona però de diferent fase, l’ona resultant és també una ona harmònica, la amplitud de la qual depèn de la diferència de fase (cliqueu aquí per veure els detalls matemàtics).

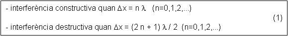
Si la diferència de fase és 0 ó un múltiple sencer de 2p, la interferència és constructiva. L’amplitud resultant és igual a la suma de les amplituds individuals i la intensitat (proporcional al quadrat de l’amplitud) és un màxim.

Si la diferència de fase és p o un múltiple imparell de p, la interferència és destructiva. L’amplitud resultant és igual a la diferència de les amplituds individuals i la intensitat és un mínim.

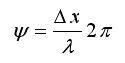
Un cas usual en que existeix una diferència de fase entre dues ones és quan aquestes ones recorren camins de diferent longitud. Una diferència de camí Dx provoca una diferència de fase Y donada per l'expressió:

on l és la longitud de ona. Per tant, es tindrà:

 

Experiència de Young

L’any 1801 Young va realitzar un experiment que va servir per comprovar el caràcter ondulatori de la llum.

S’il·luminen dues escletxes paral·leles amb llum monocromàtica. Col·locant una pantalla davant d’aquestes, es pot observar una imatge en que apareixen franges de llum i franges fosques. La explicació és que cada escletxa es converteix en centre emissor d’ones, que es superposen donant lloc al fenomen d’interferències explicat anteriorment.


 

Considerem un punt P (veure Figura 1) en la pantalla situada a una distancia D molt gran en comparació amb la separació entre escletxes d (d << D).

La diferencia de camins és aproximadament:

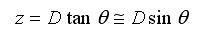
La distancia z mesurada sobre la pantalla des del centre d’aquesta fins al punt P esta relacionada amb l'angle Q per:

Combinant les dues expressions, s’obté:

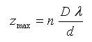
Finalment, substituint aquesta expressió en les Equacions (1), trobem que la posició dels màxims de llum (interferència constructiva) ve donada per l’expressió:

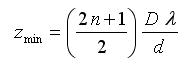
Mentre que la posició dels mínims (interferència destructiva) ve donada per:

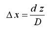
La distancia entre dos màxims o dos mínims és:

tornar enrere