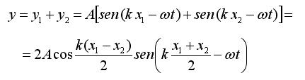
| 
que
es pot escriure com:

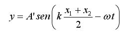
amb:

on
la diferencia de camins és Dx=x1-x2
i s’ha utilitzat que

La
expressió per la amplitud de la ona resultant A’ indica
la manera en que aquesta depèn de la diferencia de camins Dx.
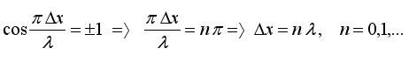
En particular, es tindrà:
-
Interferència constructiva: A’= 2A quan

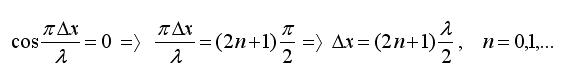
-
Interferència destructiva: A’= 0 quan

tornar
enrere
|